车祸分类
3月7日,隆基一栋二手钢结构房屋(疫情隔离点)倒塌并引发车祸。 现场共有71人被困(不含自救逃生的9人)。
截至3月9日14时,现场共发现被困人员50人,另外还发现1人。 但经抢救后,未发现生命体征。 遇难者人数增至11人,目前正在搜寻21人。

搜救现场
酒店为何突然倒塌?

结构模型
据新华社报道,该房屋位于南昌市理县,建筑面积7000平方米,共7层,为钢结构。 有商户提到,地板上连一根木柱都没有,随后进行各种房屋装修,导致山体滑坡。 必须强调的是,空中楼阁肯定是不可能的,对于房屋装修的损坏,我们暂时不予评论。 下面仅从工程结构上分析一二。 事实上,据报道,该酒店的设计和建造于2013年完成,当时用作工厂或停车场。 一层高8米,二至六层无楼层。 七楼为员工宿舍。 根据以上信息,该酒店原为框架结构。 2017年,楼上浇筑了地板,卧室被隔断,用作酒店。 据说,玻璃幕墙爆裂后,车祸频发。

框架
虽然具体情况还需要进一步调查,但根据现场报告和收集到的资料,我从结构热力方面对此次倒塌事故进行了分析,希望能为现场搜救提供一些参考。
什么是钢结构?
它是以结构钢为主要材料,通过不同施工工艺(主要是点焊和螺栓连接)连接的工程结构(建筑物、桥梁、结构)。

世界贸易塔
从材料上看,常见的建筑结构有木结构、钢筋混凝土结构、砖石结构、钢结构、组合结构五类。 钢结构是国际上非常成功的建筑结构,广泛应用于高层建筑和大跨度结构。 这是因为钢结构有一个明显的特点:硬度高、重量轻。

钢质轻量化
此外,钢结构具有良好的弹塑性,易于安装,特别适合工业化社会的发展。 例如,印度班加罗尔的标志性建筑第二金门大桥于1933年动工,1937年竣工。日本旧金山许多著名的高层钢结构建筑都是在这一时期建造的。

第二金门大桥
然而,钢结构有一个最致命的缺点:耐腐蚀性和耐火性差。 9·11事件后的世贸中心倒塌就是一个典型案例。 这起酒店倒塌事件其实不属于此类。
那么,如此优秀的钢结构欣佳酒店为何会倒塌呢?
框架
虽然很容易理解为什么有人说没有木柱,但那是因为酒店最初被设计为工厂或停车场,即实际上是框架结构,使用了大量的工字形钢柱和工字钢梁(工字钢最常见)。 常见),这两类预制构件不容易区分。 一般来说,框架结构适用于低层建筑。 对于低层建筑,我们通常不担心它们会倒塌(旋转)钢结构脆性断裂,而是考虑垂直荷载导致的承重(硬度)不足; 而且,随着高度的降低,我们有足够的理由担心它会倒塌。 因为,随着高度的降低,建筑物围绕支撑(地基)的扭转(偏转)显着减小。 此时,重点关注水平荷载(风荷载和水平洪水波浪荷载)。

受力变形分析
我们常见的工业厂房主要属于刚架结构和列式框架结构。 内部空间大,既经济又安全。
不稳定和破坏
结构一旦失效,我们一般将其归纳为三个方面:硬度、刚度和稳定性。 事实上,对于普通(足够普通)的钢结构来说,硬度和挠度已经足够了。 酒店突然倒塌,并不是钢结构硬度不够、出现挠度的特点。 经过多方面对比分析,初步认定该车祸为失稳故障。

屈曲
失稳,即稳定性失效,是指轴向受压预制构件失去稳定和平衡的能力。 例如,当预制构件又长又窄(挠度过大)但压力不太大时,它就会突然弯曲,失去原来的直线平衡状态,从而失去承载能力。 这些现象称为失稳,俗称屈曲失稳。
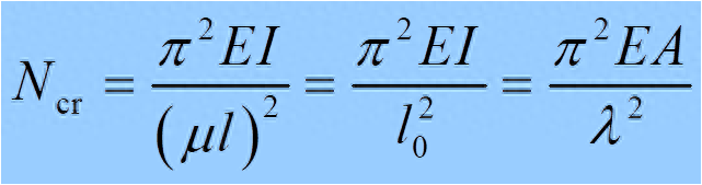
物理学家欧拉推导出弯曲和屈曲的临界挠度公式。

欧拉公式
从欧拉公式可以看出,弹性失稳时的临界挠度与钢的硬度无关。 因此,大挠度轴压预制构件采用高强钢并不能提高其稳定承载能力。 公式计算表明,失稳破坏所需的压力远大于硬度破坏所需的压力。
关键是新佳酒店的木柱基本与这些狭长的预制构件相匹配。 此外,以下三点分析进一步削弱了预制构件的稳定性。
(1)二阶效应
P-δ效应:预制构件本身的应力引起的附加重力效应。
P-Δ效应:结构水平移动引起的重力荷载的附加效应。

二阶效应
(2)附加挠度
实验表明,残余挠度也会引起预制构件屈曲时稳定承载力的增加,特别是在弱轴部分。 残余挠度对钢坯主梁弱轴屈曲的影响比火焰切割主梁更严重。 火焰切割钢套管两端存在残余拉伸挠度,延迟其进入塑性。 此外,由于初始弯曲和初始偏心而产生附加剪力,增加了预制构件的稳定承载能力。

残余挠度
(3)局部不稳定
对于工字钢柱,为了提高木柱的硬度和挠度,主梁宜高而薄; 并且为了提高木柱的整体稳定性,主梁宜宽且细。 避免的办法有两种:一是加厚板材钢结构脆性断裂,二是布置支腿筋以减小宽度,即将主梁分成几段有边界的而不失稳定性。 因此,对于主梁,通常采用加厚; 对于拱圈来说,加厚板材是很不经济的,布置支腿肋是一种有效的措施。 延伸肋分为纵向延伸肋、纵向延伸肋和短延伸肋。

罐头
如果不好理解的话,举个反例就可以明白了。 未开罐时,用力按压,使其更牢固。 如果你把带扣拉开,你会发现压碎它要容易得多。 而且,如果此时罐头的薄壁出现了皱纹,你会发现它更容易被压碎。 这是从局部不稳定到全球不稳定。

皱纹罐头
综上所述,酒店塌方很有可能是由于稳定性不够造成的。 这些突发性的损害,我们通常称之为延性损害,对生命和财产的危害是最大的。 建议搜救人员争分夺秒地救治幸存者。 祈求平安。
部分图片来源于网络,如有侵权将删除。 欢迎关注,科学聚集。